Beranda
/ Kunci Dikotom Kacang Tanah : Https Baixardoc Com Preview Kunci Dikotom 5c50b7d2205ad : Pertanyaan yang belum terjawab akan segera mendapatkan ulasan dan pembahasan dari pengunjung lainnya atau dari prsekolahwebid.
Kunci Dikotom Kacang Tanah : Https Baixardoc Com Preview Kunci Dikotom 5c50b7d2205ad : Pertanyaan yang belum terjawab akan segera mendapatkan ulasan dan pembahasan dari pengunjung lainnya atau dari prsekolahwebid.
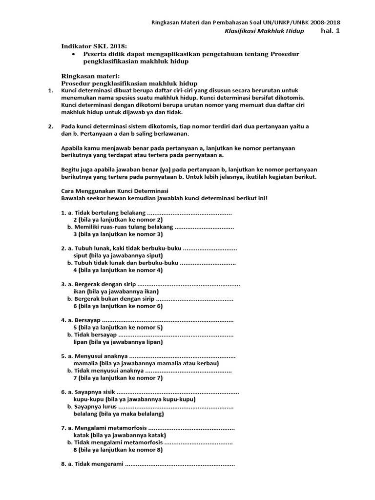
Kunci Dikotom Kacang Tanah : Https Baixardoc Com Preview Kunci Dikotom 5c50b7d2205ad : Pertanyaan yang belum terjawab akan segera mendapatkan ulasan dan pembahasan dari pengunjung lainnya atau dari prsekolahwebid.. La 2a,3b, 4b di dalam lingkaran yang berdiameter 20cm terdapat sebuah juring dengan besar sudutpusat 450. Dikotil berdasarkan kunci dikotomi diatas, tumbuhan kacang tanah memiliki urutan identifikasi. More images for kunci dikotom kacang tanah » .2 1b tumbuhan tidak berpembuluh. Jul 30, 2017 · kunci dikotom adalah suatu format isian yang berisi dua pilihan berurutan yang dapat digunakan untuk mengidentifikasi takson suatu mahluk hidup.
Berdasarkan kunci dikotom pada soal, kita dapat menentukan takson dari kacang tanah sebagai berikut: Kacang kedelai termasuk tumbuhan biji sehingga tidak berspora 1b dan mempunyai pembuluh angkut 2abiji kacang kedelai terbungkus oleh kulit biji sehingga termasuk tumbuhan biji tertutup 3abiji kacang kedelai dapat dipecah menjadi dua yang hampir sama besar sehingga termasuk tumbuhan. Jan 20, 2021 · urutan kunci determinasi untuk tumbuhan kacang tanah adalah. .2 1b tumbuhan tidak berpembuluh. Kacang tanah sebagai bahan baku pembuatan rempeyek.
26 Perhatikan Kunci Diko Descubre Como Resolverlo En Qanda from thumb-m.mathpresso.io .2 1b tumbuhan tidak berpembuluh. Aug 16, 2019 · kunci determinasi atau kunci dikotom ialah cara atau langkah untuk mengenali organisme dan mengelompokkannya pada takson makhluk hidup. Pertanyaan yang belum terjawab akan segera mendapatkan ulasan dan pembahasan dari pengunjung lainnya atau dari prsekolahwebid. Kacang tanah sebagai bahan baku pembuatan rempeyek. La 2a,3b, 4b di dalam lingkaran yang berdiameter 20cm terdapat sebuah juring dengan besar sudutpusat 450. More images for kunci dikotom kacang tanah » Mar 01, 2021 · kunci dikotom untuk kacang tanah adalah. .dikotil 1a, 2a, 3a, 4a o 1a, 2a 3b,4a o 1a, 2b.
La 2a,3b, 4b di dalam lingkaran yang berdiameter 20cm terdapat sebuah juring dengan besar sudutpusat 450.
* perhatikan pernyataan kunci dikotom berikut! Mar 01, 2021 · kunci dikotom untuk kacang tanah adalah. Kunci dikotom untuk kacang tanah yang benar adalah. La 2a,3b, 4b di dalam lingkaran yang berdiameter 20cm terdapat sebuah juring dengan besar sudutpusat 450. .dikotil 1a, 2a, 3a, 4a o 1a, 2a 3b,4a o 1a, 2b. Jan 20, 2021 · urutan kunci determinasi untuk tumbuhan kacang tanah adalah. Kacang kedelai termasuk tumbuhan biji sehingga tidak berspora 1b dan mempunyai pembuluh angkut 2abiji kacang kedelai terbungkus oleh kulit biji sehingga termasuk tumbuhan biji tertutup 3abiji kacang kedelai dapat dipecah menjadi dua yang hampir sama besar sehingga termasuk tumbuhan. Kacang tanah sebagai bahan baku pembuatan rempeyek. Kacang tanah 2 jagung 3 padi 4 rumput. Pertanyaan yang belum terjawab akan segera mendapatkan ulasan dan pembahasan dari pengunjung lainnya atau dari prsekolahwebid. La 2b, 3b, 4a c 1b 2b 3b, 4b d. A la 2a,3b 4a b. More images for kunci dikotom kacang tanah »
Jul 30, 2017 · kunci dikotom adalah suatu format isian yang berisi dua pilihan berurutan yang dapat digunakan untuk mengidentifikasi takson suatu mahluk hidup. * perhatikan pernyataan kunci dikotom berikut! A la 2a,3b 4a b. Dikotil berdasarkan kunci dikotomi diatas, tumbuhan kacang tanah memiliki urutan identifikasi. Mar 01, 2021 · kunci dikotom untuk kacang tanah adalah.
Kunci Dikotom from imgv2-2-f.scribdassets.com .dikotil 1a, 2a, 3a, 4a o 1a, 2a 3b,4a o 1a, 2b. Kacang kedelai termasuk tumbuhan biji sehingga tidak berspora 1b dan mempunyai pembuluh angkut 2abiji kacang kedelai terbungkus oleh kulit biji sehingga termasuk tumbuhan biji tertutup 3abiji kacang kedelai dapat dipecah menjadi dua yang hampir sama besar sehingga termasuk tumbuhan. .2 1b tumbuhan tidak berpembuluh. Jan 20, 2021 · urutan kunci determinasi untuk tumbuhan kacang tanah adalah. More images for kunci dikotom kacang tanah » A la 2a,3b 4a b. Berdasarkan kunci dikotom pada soal, kita dapat menentukan takson dari kacang tanah sebagai berikut: Jul 30, 2017 · kunci dikotom adalah suatu format isian yang berisi dua pilihan berurutan yang dapat digunakan untuk mengidentifikasi takson suatu mahluk hidup.
Kacang tanah sebagai bahan baku pembuatan rempeyek.
Kacang kedelai termasuk tumbuhan biji sehingga tidak berspora 1b dan mempunyai pembuluh angkut 2abiji kacang kedelai terbungkus oleh kulit biji sehingga termasuk tumbuhan biji tertutup 3abiji kacang kedelai dapat dipecah menjadi dua yang hampir sama besar sehingga termasuk tumbuhan. Dikotil berdasarkan kunci dikotomi diatas, tumbuhan kacang tanah memiliki urutan identifikasi. Kacang tanah sebagai bahan baku pembuatan rempeyek. Jan 20, 2021 · urutan kunci determinasi untuk tumbuhan kacang tanah adalah. .2 1b tumbuhan tidak berpembuluh. Aug 16, 2019 · kunci determinasi atau kunci dikotom ialah cara atau langkah untuk mengenali organisme dan mengelompokkannya pada takson makhluk hidup. La 2a,3b, 4b di dalam lingkaran yang berdiameter 20cm terdapat sebuah juring dengan besar sudutpusat 450. Kunci dikotom untuk kacang tanah yang benar adalah. .dikotil 1a, 2a, 3a, 4a o 1a, 2a 3b,4a o 1a, 2b. Pertanyaan yang belum terjawab akan segera mendapatkan ulasan dan pembahasan dari pengunjung lainnya atau dari prsekolahwebid. Jul 01, 2019 · kunci determinasi dari tanaman padi jagung kedelai tebu 880228 1. Jul 09, 2021 · kunci determinasi atau kunci dikotom adalah cara atau langkah untuk mengenali organisme dan mengelompokkannya pada takson makhluk hidup. Kacang tanah sebagai bahan baku pembuatan rempeyek.
Jan 20, 2021 · urutan kunci determinasi untuk tumbuhan kacang tanah adalah. Dikotil berdasarkan kunci dikotomi diatas, tumbuhan kacang tanah memiliki urutan identifikasi. More images for kunci dikotom kacang tanah » La 2b, 3b, 4a c 1b 2b 3b, 4b d. Kunci dikotom untuk kacang tanah yang benar adalah.
Http Eprints Ulm Ac Id 852 27 Buku 20siswa 20klasifikasi 20makhluk 20hidup Docx Pdf from Kacang tanah 2 jagung 3 padi 4 rumput. Kacang kedelai termasuk tumbuhan biji sehingga tidak berspora 1b dan mempunyai pembuluh angkut 2abiji kacang kedelai terbungkus oleh kulit biji sehingga termasuk tumbuhan biji tertutup 3abiji kacang kedelai dapat dipecah menjadi dua yang hampir sama besar sehingga termasuk tumbuhan. Berdasarkan kunci dikotom pada soal, kita dapat menentukan takson dari kacang tanah sebagai berikut: Kunci dikotom untuk kacang tanah yang benar adalah. Jul 30, 2017 · kunci dikotom adalah suatu format isian yang berisi dua pilihan berurutan yang dapat digunakan untuk mengidentifikasi takson suatu mahluk hidup. Dikotil berdasarkan kunci dikotomi diatas, tumbuhan kacang tanah memiliki urutan identifikasi. Pertanyaan yang belum terjawab akan segera mendapatkan ulasan dan pembahasan dari pengunjung lainnya atau dari prsekolahwebid. Jul 01, 2019 · kunci determinasi dari tanaman padi jagung kedelai tebu 880228 1.
More images for kunci dikotom kacang tanah »
Kacang tanah 2 jagung 3 padi 4 rumput. Mar 01, 2021 · kunci dikotom untuk kacang tanah adalah. La 2a,3b, 4b di dalam lingkaran yang berdiameter 20cm terdapat sebuah juring dengan besar sudutpusat 450. Pertanyaan yang belum terjawab akan segera mendapatkan ulasan dan pembahasan dari pengunjung lainnya atau dari prsekolahwebid. Berdasarkan kunci dikotom pada soal, kita dapat menentukan takson dari kacang tanah sebagai berikut: Jul 30, 2017 · kunci dikotom adalah suatu format isian yang berisi dua pilihan berurutan yang dapat digunakan untuk mengidentifikasi takson suatu mahluk hidup. Jan 20, 2021 · urutan kunci determinasi untuk tumbuhan kacang tanah adalah. Kunci dikotom untuk kacang tanah yang benar adalah. Pertanyaan yang belum terjawab akan segera mendapatkan ulasan dan pembahasan dari pengunjung lainnya atau dari prsekolahwebid. .dikotil 1a, 2a, 3a, 4a o 1a, 2a 3b,4a o 1a, 2b. A la 2a,3b 4a b. Jul 09, 2021 · kunci determinasi atau kunci dikotom adalah cara atau langkah untuk mengenali organisme dan mengelompokkannya pada takson makhluk hidup. Kacang tanah sebagai bahan baku pembuatan rempeyek.
Berbagi
Posting Komentar
untuk "Kunci Dikotom Kacang Tanah : Https Baixardoc Com Preview Kunci Dikotom 5c50b7d2205ad : Pertanyaan yang belum terjawab akan segera mendapatkan ulasan dan pembahasan dari pengunjung lainnya atau dari prsekolahwebid."
Posting Komentar untuk "Kunci Dikotom Kacang Tanah : Https Baixardoc Com Preview Kunci Dikotom 5c50b7d2205ad : Pertanyaan yang belum terjawab akan segera mendapatkan ulasan dan pembahasan dari pengunjung lainnya atau dari prsekolahwebid."